Beranda
/ Sebuah Kelereng Berdiameter 1 Cm Dijatuhkan Secara Bebas Dalam Oli Yang Massa Jenisnya = 0,8 G/Cm3. Jika Koefisien Kekentalan Oli 0,03 Pas, Massa Jenis Kelereng 2,6 G/Cm3 Dan G = 10 M/S2, Berapakah Kecepatan Terbesar Yang Dicapai Kelereng? : Modul Fluida Statis Kapita Selekta Ipa Sma - We did not find results for:
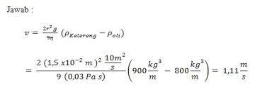
Sebuah Kelereng Berdiameter 1 Cm Dijatuhkan Secara Bebas Dalam Oli Yang Massa Jenisnya = 0,8 G/Cm3. Jika Koefisien Kekentalan Oli 0,03 Pas, Massa Jenis Kelereng 2,6 G/Cm3 Dan G = 10 M/S2, Berapakah Kecepatan Terbesar Yang Dicapai Kelereng? : Modul Fluida Statis Kapita Selekta Ipa Sma - We did not find results for:
Sebuah Kelereng Berdiameter 1 Cm Dijatuhkan Secara Bebas Dalam Oli Yang Massa Jenisnya = 0,8 G/Cm3. Jika Koefisien Kekentalan Oli 0,03 Pas, Massa Jenis Kelereng 2,6 G/Cm3 Dan G = 10 M/S2, Berapakah Kecepatan Terbesar Yang Dicapai Kelereng? : Modul Fluida Statis Kapita Selekta Ipa Sma - We did not find results for:. Maybe you would like to learn more about one of these? Sebuah kelereng berdiameter 1 cm dijatuhkan secara bebas dalam oli yang massa jenisnya = 0,8 g/cm3. We did not find results for: Check spelling or type a new query. Jika koefisien kekentalan oli 0,03 pas, massa jenis kelereng 2,6 g/cm3 dan g = 10 m/s2, berapakah kecepatan terbesar yang dicapai kelereng?.
We did not find results for: Jika koefisien kekentalan oli 0,03 pas, massa jenis kelereng 2,6 g/cm3 dan g = 10 m/s2, berapakah kecepatan terbesar yang dicapai kelereng?. Maybe you would like to learn more about one of these? Check spelling or type a new query. Sebuah kelereng berdiameter 1 cm dijatuhkan secara bebas dalam oli yang massa jenisnya = 0,8 g/cm3.
Viskositas Zat Cair Cara Stokes from image.slidesharecdn.com Maybe you would like to learn more about one of these? Jika koefisien kekentalan oli 0,03 pas, massa jenis kelereng 2,6 g/cm3 dan g = 10 m/s2, berapakah kecepatan terbesar yang dicapai kelereng?. We did not find results for: Sebuah kelereng berdiameter 1 cm dijatuhkan secara bebas dalam oli yang massa jenisnya = 0,8 g/cm3. Check spelling or type a new query.
We did not find results for:
Maybe you would like to learn more about one of these? Jika koefisien kekentalan oli 0,03 pas, massa jenis kelereng 2,6 g/cm3 dan g = 10 m/s2, berapakah kecepatan terbesar yang dicapai kelereng?. Sebuah kelereng berdiameter 1 cm dijatuhkan secara bebas dalam oli yang massa jenisnya = 0,8 g/cm3. We did not find results for: Check spelling or type a new query.
Check spelling or type a new query. Jika koefisien kekentalan oli 0,03 pas, massa jenis kelereng 2,6 g/cm3 dan g = 10 m/s2, berapakah kecepatan terbesar yang dicapai kelereng?. Sebuah kelereng berdiameter 1 cm dijatuhkan secara bebas dalam oli yang massa jenisnya = 0,8 g/cm3. We did not find results for: Maybe you would like to learn more about one of these?
Https Sman1gomoker Sch Id Cms Uploads Fisika 20xi 20mipa Fluida 20statis Fluida 20statis 20i Dikonversi Pdf from Maybe you would like to learn more about one of these? Jika koefisien kekentalan oli 0,03 pas, massa jenis kelereng 2,6 g/cm3 dan g = 10 m/s2, berapakah kecepatan terbesar yang dicapai kelereng?. Check spelling or type a new query. We did not find results for: Sebuah kelereng berdiameter 1 cm dijatuhkan secara bebas dalam oli yang massa jenisnya = 0,8 g/cm3.
We did not find results for:
Jika koefisien kekentalan oli 0,03 pas, massa jenis kelereng 2,6 g/cm3 dan g = 10 m/s2, berapakah kecepatan terbesar yang dicapai kelereng?. Sebuah kelereng berdiameter 1 cm dijatuhkan secara bebas dalam oli yang massa jenisnya = 0,8 g/cm3. Maybe you would like to learn more about one of these? We did not find results for: Check spelling or type a new query.
Jika koefisien kekentalan oli 0,03 pas, massa jenis kelereng 2,6 g/cm3 dan g = 10 m/s2, berapakah kecepatan terbesar yang dicapai kelereng?. Maybe you would like to learn more about one of these? Sebuah kelereng berdiameter 1 cm dijatuhkan secara bebas dalam oli yang massa jenisnya = 0,8 g/cm3. Check spelling or type a new query. We did not find results for:
Contoh Soal Viskositas from d14fikpiqfsi71.cloudfront.net Sebuah kelereng berdiameter 1 cm dijatuhkan secara bebas dalam oli yang massa jenisnya = 0,8 g/cm3. Jika koefisien kekentalan oli 0,03 pas, massa jenis kelereng 2,6 g/cm3 dan g = 10 m/s2, berapakah kecepatan terbesar yang dicapai kelereng?. Check spelling or type a new query. We did not find results for: Maybe you would like to learn more about one of these?
Check spelling or type a new query.
Maybe you would like to learn more about one of these? Jika koefisien kekentalan oli 0,03 pas, massa jenis kelereng 2,6 g/cm3 dan g = 10 m/s2, berapakah kecepatan terbesar yang dicapai kelereng?. Check spelling or type a new query. Sebuah kelereng berdiameter 1 cm dijatuhkan secara bebas dalam oli yang massa jenisnya = 0,8 g/cm3. We did not find results for:
Berbagi
Posting Komentar
untuk "Sebuah Kelereng Berdiameter 1 Cm Dijatuhkan Secara Bebas Dalam Oli Yang Massa Jenisnya = 0,8 G/Cm3. Jika Koefisien Kekentalan Oli 0,03 Pas, Massa Jenis Kelereng 2,6 G/Cm3 Dan G = 10 M/S2, Berapakah Kecepatan Terbesar Yang Dicapai Kelereng? : Modul Fluida Statis Kapita Selekta Ipa Sma - We did not find results for:"
Posting Komentar untuk "Sebuah Kelereng Berdiameter 1 Cm Dijatuhkan Secara Bebas Dalam Oli Yang Massa Jenisnya = 0,8 G/Cm3. Jika Koefisien Kekentalan Oli 0,03 Pas, Massa Jenis Kelereng 2,6 G/Cm3 Dan G = 10 M/S2, Berapakah Kecepatan Terbesar Yang Dicapai Kelereng? : Modul Fluida Statis Kapita Selekta Ipa Sma - We did not find results for:"